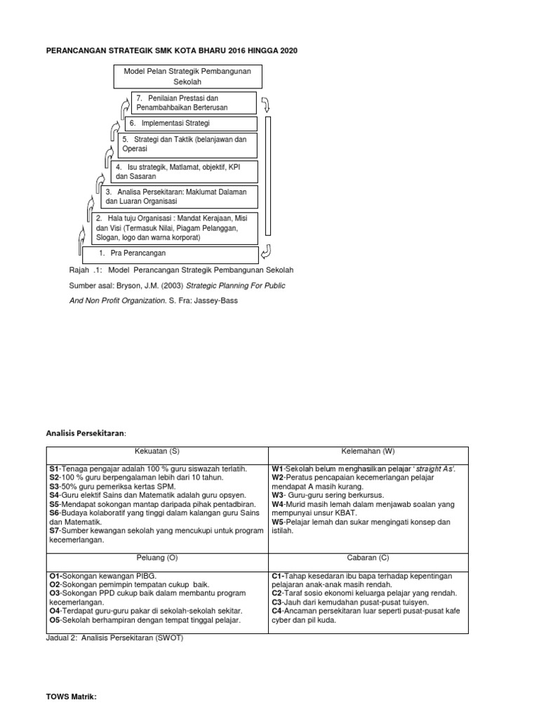
Perancangan Strategik SMK Kota Bharu 2016 Hingga 2020 PDF
eKasih 2021: Kemaskini Syarat Kelayakan Dan Cara Memohon - Info Awam
Directchina.my - KHAS WARGA JOHOR (IC JOHOR sahaja 01&23) Bantuan
Garis Panduan Pengendalian Surat Sokongan Daripada Pemimpin 
Surat Sokongan Dan Pengesahan Pemimpin Tempatan - Kokakka
Surat Sokongan Dan Pengesahan Pemimpin Tempatan
Putrajaya senarai 37 perkhidmatan perlu sepanjang PKP MalaysiaNow
Kebodohan Lokman (baca UMNO walaupun dipecat UMNO) tentang surat
Moses King Aruputham (@MosesKi08608792) / Twitter
Portal Kerajaan Negeri Selangor Darul Ehsan
Buku Panduan ARS & IECP by Office of Mufti, ARS Office - Issuu
Parti Tindakan Demokratik - Wikipedia Bahasa Melayu, ensiklopedia 
Tags:
archive